Vector Labs代理,歡迎訪問Vector Labs官網或者咨詢我們獲取相關Vector Labs產品信息以及報價。
Vector Labs 公司是世界著名的生物學檢測試劑公司,七十年代其在全球首推的生物素-親和素系統引領了生物學檢測方法的重大革命,該系統被普遍視為目前最靈敏、最可靠與最有效的染色系統,并被廣泛應用于免疫組織化學、免疫電鏡、原位雜交與凝集素化學中。該系統仍在不斷地發展,以滿足廣大研究人員的各種不同要求。Vector 公司還是世界上凝集素產品的主要供應商,并提供大量的新產品,如酶底物、神經元示蹤劑及蛋白質、糖類與核酸的標記、分離與檢測試劑。
5′ EndTag Nucleic Acid Labeling Kit
Description
End labeling is a favored method for applications in which an internal label might interfere with hybridization or sequence specific protein binding.
Features of the 5′ EndTag DNA/RNA Labeling Kit:
- Enables simple and uniform labeling of the 5′ end of a DNA, RNA or unmodified oligonucleotide molecule.
- Preserves the unmodified 3′ end of the oligonucleotide (ideal for the labeling of PCR primers as a result).
- Compatible with a choice of diverse labels – fluorophores, biotin, haptens, or affinity ligands*
Specifications
| Unit Size | 1 kit |
|---|---|
| Target for Labeling | DNA, Oligonucleotides, RNA |
| Required Reactive Group | 5 ‘-OH group of nucleic acid |
| Tag/Group Incorporated | Thiol |
| Safety Title | WARNING: NA – www.P65Warnings.ca.gov |
Kit Components
What’s in the box?
Materials suitable to perform 10 end labeling reactions of up to 0.6 nmols of 5′ ends (e.g. about 5 μg of a 25 base oligo) per reaction. This includes:
- T4 polynucleotide kinase
- 10x reaction buffer
- ATPγS
- Precipitant
- Alkaline Phosphatase
*Note: Thiol-reactive labeling reagent is not included in the kit and must be purchased separately. Labels suitable for this kit include:
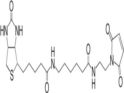
- Biotin (Long Arm) Maleimide
- DNP Maleimide
- Fluorescein (Long Arm) Maleimide
- Fucose Maleimide
- Texas Red? Maleimide
Note regarding shipping: This item is shipped on wet ice and therefore requires additional shipping charges.
Documents
- User Guide
- Safety Data Sheet
- Download CoA
- Datasheet
Related Products
Biotin (Long Arm) Maleimide Catalog #: SP-1501-12
Fluorescein Maleimide Catalog #: SP-1502-12
Texas Red Maleimide Catalog #: SP-1505-3.6
3' EndTag DNA End Labeling System Catalog #: MB-9002
PHOTOPROBE? Biotin for Nucleic Acid Labeling Catalog #: SP-1000
PHOTOPROBE? (Long Arm) Biotin for Nucleic Acid Labeling Catalog #: SP-1020
QuantTag Biotin Quantitation Kit Catalog #: BDK-2000
Citations
Technical Information
End labeling is a favored method for applications in which the presence of an internal label might interfere with hybridization or sequence specific protein binding.
5' or 3' EndTag labeled nucleic acids can be used for applications such as DNA hybridization, PCR, in situ hybridization, the binding of capture probes to affinity matrices, or electrophoretic mobility shift assays (EMSA). Short oligonucleotides are labeled more efficiently with these systems than with other methods. In addition, end labeling of oligonucleotides is an economical alternative to having labels inserted during synthesis.
Both the 5' EndTag and 3' EndTag Nucleic Acid Labeling Systems enable the covalent attachment of a variety of fluorescent dyes, haptens, or affinity tags to the respective ends of a nucleic acid using thiol-specific chemistry. Labels containing thiol-reactive groups (maleimides, iodoacetamides, etc.) can easily be incorporated.
Labeling time is about 1 hour with very little hands-on time.
5' EndTag Labeling Kit
The 5' EndTag System labels 5' ends of DNA, RNA, or unmodified oligonucleotides. This kit is ideal for labeling PCR primers because a label is attached only to the 5' end, leaving the 3' end available for polymerization.
Labeling with the 5' EndTag Kit is achieved in two steps:
- T4 polynucleotide kinase transfers a thiophosphate from ATPγS to the 5' -OH group of the nucleic acid. (5' phosphorylated ends are converted to 5' -OH groups with the included alkaline phosphatase).
- Thiolated sample is coupled to a thiol-reactive label. The 5' EndTag Kit is designed to perform 10 labeling reactions of up to 0.6 nmols of 5' ends (e.g. about 5 μg of a 25 base oligo) per reaction. Thiol-reactive label is not included in the kit and should be selected separately.


Ln 1) Unlabeled primers
Ln 2) EndTag biotinylated forward primer and unlabeled reverse primer
Ln 3) Unlabeled forward primer and EndTag biotinylated reverse primer
Ln 4) EndTag biotinylated forward and reverse primers.





